利用excel对线性规划进行求解过程
excel可以用来处理一些数学模型,比如线性规划的最优解问题、数据的回归分析、方差计算等等,我们该如何利用excel做简单的线性规划求解呢?
操作方法
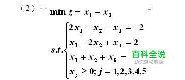
- 01
如图,这是我们此次的规划问题,目标函数Z求最小值,变量分别为xi,i=1,2,3,4,5,s.t.表示约束条件,求在此约束条件下的Z的最优解。
- 02
首先,我们根据题中信息列出excel表格,将其中约定条件下的系数写在“C8:G10”这个区域内,然后在“unit profit”后面列出目标函数的各项系数,其中,红色的数字表示负数,这个可以自行设置单元格的数字格式,在“units produced”后面列出变量xi,i=1,2,3,4,5。
- 03
然后在右侧“hours available”下分别对应左侧的各行列表写出约束条件的右端值“-2,2,5”。
- 04
然后在其中“hours used”下面列出各行的实际值,即是每一个约束条件下左端的值,选中H8单元格,输入“=SUMPRODUCT(”函数,然后按住ctrl键,选中区域“C8:G8”“C13:G13”,记住一定要按住ctrl键,然后回车,得出该约束条件的左端值,将光标定在该单元格的右下角,然后用填涂笔往下拉直到得出三个约束条件下的左端值。
- 05
最后写出我们的目标函数区域,在“total profit”下面写出目标函数的左端值,列入公式如图所示,即是将目标函数的对应系数与变量对应相乘得的值。
- 06
然后选中目标函数左端值所在的单元格,点击工具栏中的“数据”,再点击右上角的“规划求解”。
- 07
然后在弹出的小窗中点击求解值类型“最小解”,然后在“可变单元格区域”选中我们的变量所在单元格即是“$C$13:$G$13”。
- 08
然后在规划求解中添加约束条件。点击“添加”。
- 09
然后在会弹出一个条件窗,中间的符号改为“=”,左侧引用单元格分别为左边方框内的三个数字,即是三个约束条件的左端值,右侧约束值即是右边方框中的三个数值,每一组添加好之后点击下方的确定,然后再次点击添加,一定要记得一组一组添加哦,这样的总共有三组。
- 10
添加好三个约束条件之后,还有最后一个关于变量非负的约束,点击方框中的“添加”后按照图示设置,将中间的符号改为“>=”,右侧的约束改为“0”,左侧引用单元格改为下方的五个变量,如图所示,最后点击确定。
- 11
之后在图中的方框中勾选对应选项,然后点击下方的“求解”。
- 12
最后在这个方框中左侧选择保留解,右侧勾选我们需要产生的报告,再点击下方的“确定”。
- 13
规划求解后,如图所示,在目标单元格内即可看到我们的最优解,表示在指定约束条件下目标函数的最小值为“-3”,另外,点击下方的其他报告即可切换到生成的报告界面哦。
