怎么用EXCEL求回归分析的预测区间置信区间
我们在使用EXCEL做基本的回归分析的时候,经常会使用某个值来预测因变量的值,由于误差的存在我们可以计算出一个置信区间或者是预测区间,excel的回归分析结果只给出了基本的检验结果,并不能确定每一个值的区间估计,那么我们如何使用excel来计算预测区间置信区间呢?由于置信区间和预测区间的计算公式相差不大,小编这里就以预测期间为例说明。
操作方法
- 01
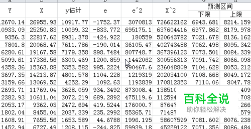
第一步仍然是准备好我们需要的数据,纵向排列 首先计算Y的估计值,我们根据回归方程计算 在C2单元格里面输入“=0.48*$B2-2021.08”,回车计算出结果,然后向下拖动生成所有点对应的y估计值
- 02
接着我们需要计算残差e,在D2单元格里面输入“=$C2-$A2”还是向下拖动生成残差列
- 03
然后计算残差的平方,在E2单元格里面输入“=D2^2” 做右侧空白区域选择一个单元格,比如M2,在单元格里面输入“=SUM(E2:E20)”计算残差的平方和
- 04
接下来我们计算x的平方,在F2单元格里面输入“=B2^2”向下拖动生成x的平方值列 同样在右侧找一个单元格,如M3,输入“=SUM(F2:F20)”回车
- 05
接下来我们计算估计误差 先在K2单元格计算出x的均值,输入“=AVERAGE(B2:B20)” 在K3输入需要计算得X值,比如这里的3000 在K5单元格里面输入“=SQRT($M$2/17*(1/18+($K$3-$K$2)^2/$M$3))”回车输出误差值 如果计算得是置信区间的话,可以另外选择单元格输入“=SQRT($M$2/17*(1+1/18+($K$3-$K$2)^2/$M$3))”
- 06
我们需要分别计算预测区间的上限和下限 在J9单元格里面输入“=$M$5-TINV(0.05,17)*$K$5”回车,作为下限值 在K9单元格里面输入“=$M$5+TINV(0.05,17)*$K$5”回车,作为上限值
- 07
接下来如果我们需要更换X的值,只需要在K3单元格里面重新输入X新的数值,然后回车,在J3和K3单元格就会计算出Y的预测区间的下限和上限。
