相机标定:张正友标定法求解原理
绪:
张正友标定方法是目前求解求解相机内参和畸变系数的经典方法,也是最受欢迎的方法。
通过采集至少两张不同角度的平面标定板图像;
相机标定是三维场景重构中必不可少的步骤,目的是提取出二维图像中包含的计量信息。
相机标定方法分为:传统的摄影测量标定方法和自标定方法;
张正友标定方法介于传统的摄影测量标定方法和自标定方法之间;
方法相较于其他方法更便捷和精度,稳定;
张正友标定方法的透镜模型如下:
操作方法
- 01
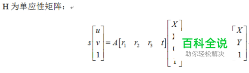
平面标定板和图像之间的单应性矩阵H: 一般以平面标定板上左上角的点为世界坐标系的原点,其XOY平面与标定板平面重合; 故标定板上的点其Z=0; 则透镜模型可变为: H为单应性矩阵:
- 02
求内参的约束条件 如下所示:
- 03
闭合解(closed-form solution)方法: 如下所示
- 04
约束条件转换 如下所示
- 05
相机内部参数求解:
- 06
最大似然估计优化 由最大似然估计的非线性优化方法对参数进行优化。
- 07
张正友标定方法总结 (1)设定标定板 (2)旋转标定板或相机,采集标定板图像 (3)检测图像特征点 (4)估计5个相机内参,和外部参数 (5)参数优化
赞 (0)
