怎么在Word中输入数学公式,Mathtype 使用
我们在写论文,写各种文章的时候经常会在word中需要输入各种各样的数学公式,比起输入文字来说,输入公式尤其是带有很多符号的公式是一件十分麻烦的事情,虽然随着word 的升级,输入公式也变的更方便了,下面小编就和大家说说word中如何输入公式以及mathtype的使用
操作方法
- 01
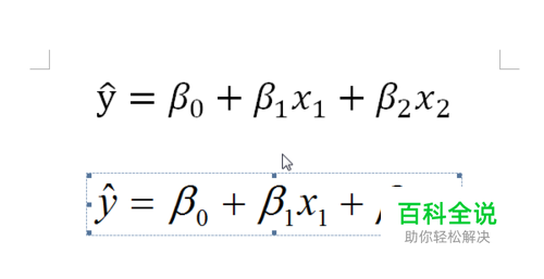
首先打开word,小编这里也office word 2010为例,我们直接输入一个二元的方程。 切换到插入选项卡,在符号位置选择“公式”(右上位置),在列表中 选择最后一项“插入新公式”,如果要输入的公式是已经提供的,在前面选择去就可以了
- 02
我们需要输入y的估计值的符号表示,点击“导数符号”(a上面有两个黑点),选择第一行的最后一个,虚线框上面有个尖角的小帽儿,将光标移动到虚线框内输入y
- 03
然后将光标向右移动,点击上下标,选择下标,就是第一行的第二个,还是将光标移动到较大的虚线框内
- 04
在符号列表里面选择β,然后将光标下移到小的虚线框内,输入数字0 接着我们 使用同样的方法输入整个公式
- 05
但是使用word2010输入的公式在打印或者使用wps打开的时候,可能会遇到无法显示或者打印显示无数据的情况 所以小编建议输入公式的时候使用Mathtype来输入我们的公式,在电脑上安装Mathtype,打开它,使用默认的设置就可以了。首先输入y,然后点击菜单栏下方的第一行的第三个项目,点击列表里面的第五行的第五个
- 06
输入带下标的beta,先在希腊字母表里面选择beta,然后点击第二行的项目,选择列表里面的第一行的第二个,输入数字0即可。
- 07
输入完公式以后全部选中,复制,然后在word里面右击粘贴就可以了。 如果后期需要修改的话,直接双击相应的公式就可以打开mathtype进行修改了。
赞 (0)
