matlab求方程的根
在函数特性分析时,常需要求解方程的根,也就是曲线的零点。下面,小编为大家演示如何用matlab求解方程的根:
操作方法
- 01
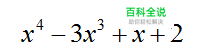
作为常见的多项式方程,如下所示,下面演示如何用matlab求其根:
- 02
在matlab求解方程根时,首先需要将方程各项系数转化为一维数组形式,比如上述的表达式可以转化为:p = [1 -3 0 1 2]
- 03
利用roots函数求解多项式根,如下所示: x = roots(p)
- 04
点击运行后,在Command Window显示求出的根: r = 2.7769 1.2176 -0.4973 + 0.5867i -0.4973 - 0.5867i 共4个根,可以带入检验是否正确!
赞 (0)
