如何编辑MathType大括号分段函数
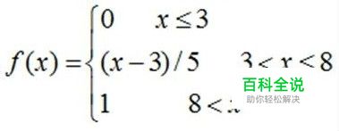
在书写论文或者一般的文件时,可能会碰到书写带有大括号的分段函数,下面介绍用MathType编辑分段函数的方法。例如:编写如下图所示的分段函数
操作方法
- 01
具体步骤如下: 打开Mathtype公式编辑器。点击栅栏模板,插入大括号。选其中的左括号,如下图所示。
- 02
然后,在矩阵模板下选择多选按钮,如下图所示。
- 03
在弹出的矩阵对话框中选择行数为3,列数为2,插入3×2矩阵。
- 04
插入矩阵后,在第一列输入函数表达式,第二列是相应的部分区间
赞 (0)
