matlab怎么画椭圆
matlab如何怎么plot一个椭圆呢?这里介绍一下利用椭圆方程来绘制椭圆曲线,希望能够帮到你!
操作方法
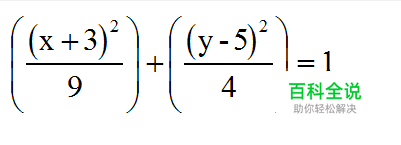
- 01这里以椭圆方程(x+3)²/9+(y-5)²/4=1为例plot椭圆曲线。 
- 02首先利用方程cos(t)²+sin(t)²=1,将椭圆方程转化为: x=-3+3cos(t) y=5+2sin(t) 
- 03matlab定义t的取值范围: t=[0:0.1:2*pi]; 
- 04matlab确定xy轴坐标: x=-3+3*cos(t); y=5+2*sin(t); 
- 05matlab绘制plot椭圆图: plot(x,y); 
- 06添加栅格: grid minor; 
- 07完整matlab代码: t=[0:0.1:2*pi]; x=-3+3*cos(t); y=5+2*sin(t); plot(x,y); hold on grid minor 
 赞 (0)
                        