Matlab绘制空间曲线图教程
日常研究做实验会产生大量的数据,如何将这些数据有效直观地展现给别人呢?方法很多,本讲述使用MATLAB绘制曲线图。
操作方法
- 01空间直角坐标系中的三维图,是实际中最常见图像,在MATLAB中我们可以自带plot3命令来绘制空间图。首先查看plot3命令的明说,在MATLAB命令行中输入help plot3。 
- 02plot3命令常用的三种格式: plot3(x,y,z):根据相同维度3个数组x,y,z绘制空间曲线; plot3(x1,y1,z1,x2,y2,z2):根据x1,y1,z1,x2,y2,z2同时绘制两条空间曲线,当然继续添加三元组可以绘制更多的曲线; plot3(x,y,z,'style'):根据相同维度3个数组x,y,z绘制由style控制格式的曲线,style由1至3个字符组成可以控制曲线的颜色、坐标点的图形等信息。 
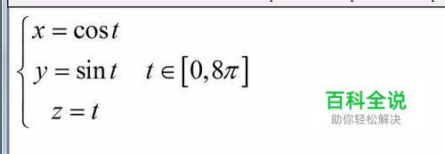
- 03绘制一条下图一种函数表示的样例空间曲线,相应的代码也在下图二中 
- 04从结果图中,我可以看到一条空间曲线。 
- 05尝试第二条常用命令可是在同一个坐标系中画多条空间曲线。代码如下图一,结果图如下图二。 
- 06同时我们可以分别控制每一天曲线的格式,代码如下图一(注意看图中红区标注的地方),结果图如下图二。 
- 07第二种常用格式中plot3(x1,y1,z1,x2,y2,z2),曲线1(x1,y1,z1)与曲线2(x,y,z)的左边个数可以不同,注意看下图红圈标注的地方。 
 赞 (0)
                        