Matlab如何合并拼接矩阵数组?
将两个或多个矩阵、数组进行拼接,在数学计算或者合并输出矩阵数据到记事本txt等文件中,经常会用到。矩阵(数组)可以纵向按列或横向按行合并,但需要保证对应维度相等。接下介绍,如何进行上下或左右,合并2个及多个矩阵。
操作方法
- 01这里取四个矩阵,进行合并2个,甚至更多矩阵,将其进行上下或者左右合并。首先打开软件,按图2指示,新建一个m文件。 
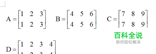
- 02在m文件中进行A-D矩阵代码编写,不同行元素用英文冒号区分;同一行不同元素,用空格或英文逗号分隔。最后所有矩阵生成程序,如下图。 
- 03输入完成,需要运行程序,首先需要进行保存,再运行程序,运行后软件命令窗口显示如下,打印出四个矩阵。 
- 04按照左右合并矩阵,需要对应矩阵行数相同,分别输入E=[A B]、F=[A,B,C]两句代码,即可实现,其中使用空格或者“,”均可。 
- 05接着如果需要上下拼接,可以输入下图代码,其中使用“;”符合实现,分别运行一句程序,即可输出相应结果,分别实现2个和3个矩阵上下合并。 
- 06执行合并矩阵,必须保证对应行或列数相等,这里进行B和D矩阵上下合并,其对应列数并不相同,运行J=[B;D]后,则会提示出错,所以出现下图错误,则需要进行检查,进行矩阵修改。这样如何进行拼接,介绍完成。 
 赞 (0)
                        
